Как рассчитать расстояние до Луны с помощью закона всемирного тяготения?
Динамика: Сила тяготения. Задание на расчёт расстояния до Луны
Научитесь определять расстояние до Луны, используя закон всемирного тяготения и данные о ее орбитальном движении. В статье объясняется, как связать силу тяготения с периодом обращения Луны, приводятся необходимые формулы (включая закон Кеплера и формулу Ньютона) и разбирается задача с подробным решением. Этот материал станет отличным инструментом для изучения астрономии и механики, а также для подготовки к экзаменам по физике
Рассчитай расстояние от Земли до её естественного спутника в системе отсчёта, связанной с Солнцем, учитывая количество суток — 27,32 — в звёздном месяце и значение ускорения свободного падения у поверхности Земли 9,81 м/с². Справочные данные: радиус Земли — 6350 км.
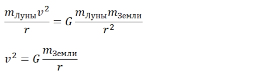
Так как система отсчёта связана с Солнцем, Землю и её естественный спутник — Луну, считаем материальными точками. Запишем второй закон Ньютона для Луны и выразим из него квадрат скорости
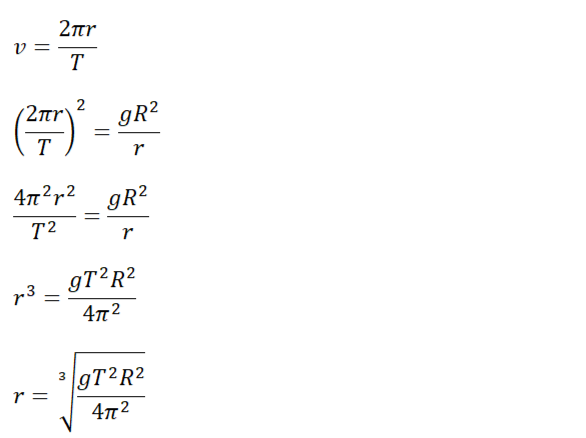
Преобразуем формулу ускорения свободного падения у поверхности Земли и подставим в формулу квадрата скорости
Учитывая взаимосвязь скорости вращения Луны и периода (звёздного месяца), преобразуем предыдущую формулу и выразим искомое расстояние
