Как рассчитать разность потенциалов на обкладках конденсатора?
Электродинамика. Электростатика: Электроёмкость. Энергия электрического поля. Задание на расчёт разности потенциалов
Научитесь определять разность потенциалов между обкладками конденсатора, используя основные принципы электроёмкости и энергии электрического поля. В статье объясняется, как связаны между собой заряд, ёмкость и разность потенциалов, а также как эти параметры меняются при различных условиях. Мы разберем задачу с пошаговым решением, чтобы продемонстрировать практическое применение этих знаний. Этот материал поможет вам глубже понять работу конденсаторов и успешно справляться с физическими задачами
Рассчитай показания идеального вольтметра, включённого между точками A и B в схеме, изображённой на рисунке. Напряжение источника U=20 В.
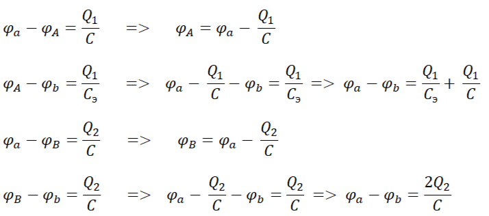
Заменим параллельно соединённые конденсаторы в ветви, содержащей точку A, на эквивалентный. Зная полярность источника, расставим заряды на обкладках конденсаторов и введём потенциалы узловых точек цепи и обозначим заряды на каждом из них в электрической цепи, используя свойства параллельного и последовательного соединения конденсаторов
Запишем выражения для разности потенциалов и связанные с ними преобразования
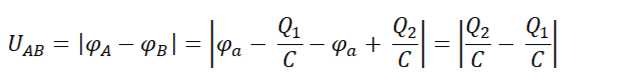
Вольтметр показывает модуль разности потенциалов в точках A и B, запишем это в виде формулы и преобразуем
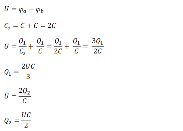
Разность потенциалов равна напряжению источника. Эквивалентная емкость параллельно соединённых конденсаторов равна их сумме. Выразим заряды через напряжение
Подставим заряды в формулу напряжения на вольтметре. Так как по соотношению понятно, какая из величин больше, избавимся от модуля
В итоге пришли к простому соотношению. Подставим известное напряжение источника и решим задачу
Довольно объёмное решение компенсируется легким расчетом)
