Равномерное движение по окружности: как найти модуль перемещения? Практические примеры решения
Кинематика материальной точки: Равномерное движение по окружности. Задача на определение модуля перемещения тела
Изучите, как определить модуль перемещения материальной точки при равномерном движении по окружности. В статье представлены основные формулы, теоретические аспекты и подробно разобрана задача с решением. Это отличный материал для подготовки к урокам физики, ЕГЭ или любым контрольным работам
Задача
Материальная точка перемещается по окружности с постоянной по модулю скоростью, равной 19 м/с. Точка за 0,3 c переместилась из точки A в точку B. Дуга AB составляет четвёртую часть окружности. Определи модуль вектора перемещения.
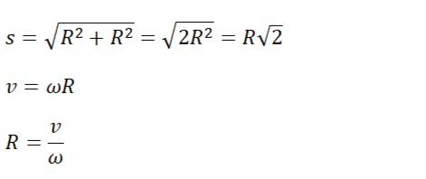
Так как дуга AB составляет четвёртую часть окружности, а целая окружность составляет 360°, то дуга АВ 90° и угол АОВ, опирающийся на эту дугу тоже 90°. Значит, треугольник АОВ прямоугольный, с катетами равными радиусу.
Тогда модуль перемещения можно найти по теореме Пифагора, а радиус выразить через соотношение линейной скорости и угловой.
Так как угловая скорость неизвестна, выразим её через отношение изменения угла к промежутку времени, затем подставим в формулы выше
Заметим, что угол в данном случае должен быть измерен в радианах. Запишем решение и ответ
