Равномерное движение по окружности: как найти частоту вращения? Примеры решения задач
Кинематика материальной точки: Равномерное движение по окружности. Определение частоты при движении по окружности
Узнайте, как рассчитать частоту при равномерном движении материальной точки по окружности. В этой статье мы разберем основные формулы, физические величины и решим типовую задачу по кинематике. Подробные объяснения помогут вам легко освоить тему и подготовиться к экзаменам или контрольным работам по физике
Задача
На рисунке равномерно вращается диск. Линейная скорость в точке A равна 3,7 м/с, а в точке B равна 1,8 м/с. Точка B находится ближе к центру диска, чем точка A на ΔR = 13 см. Найди частоту вращения диска.
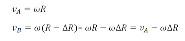
Точки находятся на одном диске, значит, угловая скорость у них будет одинаковой. При этом радиус окружности, по которой вращается точка В можно найти как разность между радиусом диска (окружности на которой находится точка А) и ΔR. Запишем формулы для линейных скоростей, выраженных через угловые и преобразуем «объединив» формулы
Теперь выразим угловую скорость через частоту и подставим полученное выражение в предыдущую формулу.
Теперь остается выразить частоту и решить задачу
