Отношения ускорений при равномерном движении по окружности: как решать задачи?
Кинематика материальной точки: Равномерное движение по окружности. Задача на определение отношений ускорений
Научитесь определять отношения между различными типами ускорений (центростремительным, тангенциальным и полным) при равномерном движении материальной точки по окружности. В статье подробно объясняются основные формулы, физические принципы и разбирается практическая задача с пошаговым решением. Это идеальный материал для успешной подготовки к экзаменам, ЕГЭ или контрольным работам по физике
Машина двигается по окружности с постоянной скоростью. В точке A машина встретилась с мотоциклом, который двигался равнозамедленно по диаметру AB. В точке A скорости машины и мотоцикла были равны. Машина, пройдя полкруга, встретилась с мотоциклом в точке B. Определи отношение модулей ускорения машины и мотоцикла и путь, пройденный машиной между встречами с мотоциклом, если радиус окружности равен 202 м.
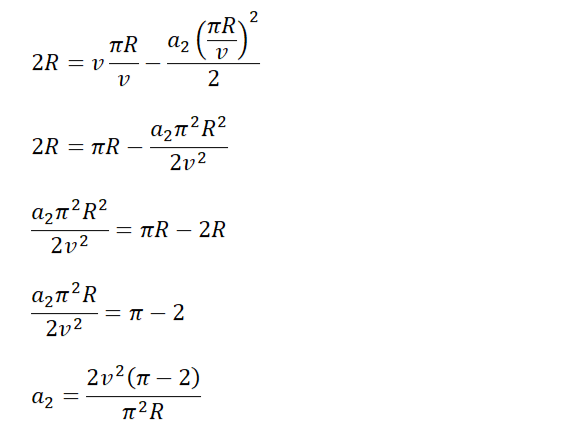
Время в пути у машины и мотоцикла одинаково, при этом машина движется равномерно, проделав путь в половину окружности. Зная это, выразим время.
Мотоцикл прошёл путь, равный диаметру, или двум радиусам. С другой стороны, его путь можно выразить по закону равнозамедленного движения
Подставим в данную формулу выраженное ранее время и преобразуем, выразив ускорение мотоциклиста
Так как автомобиль движется по окружности, его ускорение найдем по формуле центростремительного ускорения и найдем отношение
