Как рассчитать плотность тела с учетом электростатического поля?
Электродинамика. Электростатика: Электростатическое поле. Задание на расчёт плотности тела
Научитесь определять плотность тела, используя параметры электростатического поля и их влияние на распределение зарядов. В статье объясняется, как связана плотность с объемными зарядами, напряженностью поля и другими физическими параметрами. Приводятся необходимые формулы для расчета ( с учетом электростатических факторов) и разбирается задача с подробным решением. Этот материал поможет вам успешно освоить взаимосвязь между электростатикой и механическими свойствами вещества
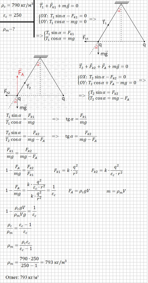
Заряженные объекты закреплены на двух нитях в вакууме. При их помещении в жидкое вещество (ρ=790 кг/м³, ε=250) угол между нитями остаётся неизменным. Рассчитай плотность объектов.
Запишем следствие из второго закона Ньютона для точечного заряда в вакууме и в среде, спроецируем оба уравнения на оси. Отличаться они будут тем, что в среде на объекты действует сила Архимеда
В каждом случае разделим друг на друга левые и правые части уравнений, слева получается одинаковый результат, значит, можно приравнять правые части
Используя законы математики перепишем последнюю формулу по другому и подставим вместо силы Кулона их формулы в вакууме и среде соответственно
Запишем формулы для силы Архимеда и для массы заряженного тела, а затем подставим в формулу
Остается выразить искомую плотность и подставить числа
