Как рассчитать изменение энергии конденсатора при различных условиях?
Электродинамика. Электростатика: Электроёмкость. Энергия электрического поля. Задание на расчёт изменения энергии конденсатора
Научитесь определять, как меняется энергия, накопленная в конденсаторе, при изменении параметров, таких как напряжение, ёмкость или вставка диэлектрика. В статье объясняется зависимость энергии от этих факторов и как их модификация влияет на работу устройства. Мы разберем задачу с подробным решением, чтобы показать, как применять теоретические знания для расчета изменения энергии. Этот материал поможет вам глубже понять принципы работы конденсаторов и успешно справляться с физическими задачами
Определи, во сколько раз уменьшится энергия конденсатора C₁=C после перевода ключа K из положения 1 в положение 2, если первоначально конденсаторы C₂=C, C₃=2C и C₄=5C не заряжены.
При переключении ключа K к конденсатору C₁ будет подключена система незаряженных конденсаторов, в результате чего часть заряда с C₁ перейдёт на неё и энергия конденсатора C₁ уменьшится. После переключения произойдёт перераспределение зарядов в системе, в результате чего разности потенциалов между точками b−a и d−c станут одинаковыми
Изобразим обозначение зарядов и потенциалов в цепи, а также электрическую схему после переключения ключа
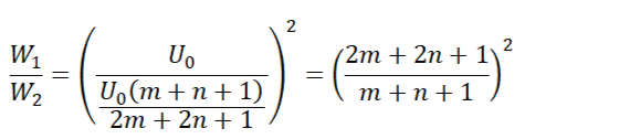
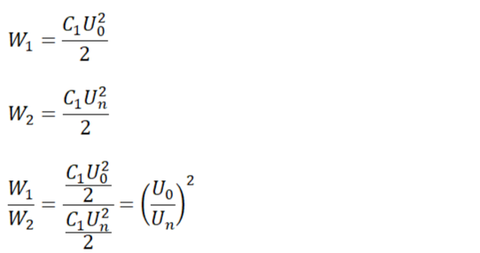
Запишем выражение для энергии конденсатора до и после переключения, а затем разделим друг на друга
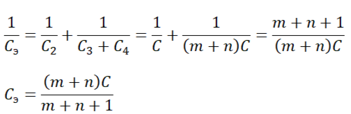
Вычислим эквивалентную ёмкость системы конденсаторов C₂, C₃ и C₄
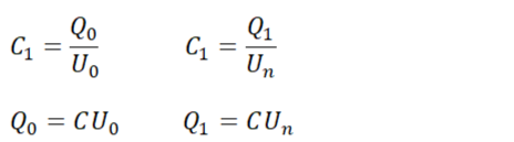
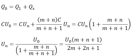
Выразим заряд до переключения из формулы емкости и аналогично выразим заряд Q₁
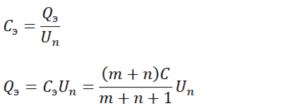
Используем эти же формулы для эквивалентной емкости, чтобы выразить эквивалентный заряд
Для системы конденсаторов до и после переключения выполняется закон сохранения заряда. Запишем его и подставим ранее выведенные формулы зарядов, а затем выразим напряжение после переключения
Подставим в формулу отношения энергий конденсатора и преобразуем
Подставляем значения и решаем задачу
