Кинематика материальной точки: Задача в трехмерной системе координат 📏 | Решение с примерами
Кинематика материальной точки: Описание механического движения. Задача в трёхмерной системе координат
Полное руководство по решению задач кинематики материальной точки в трехмерной системе координат. Изучите основы описания механического движения, примените формулы и разберите практический пример с подробным решением. Идеально для школьников и студентов!
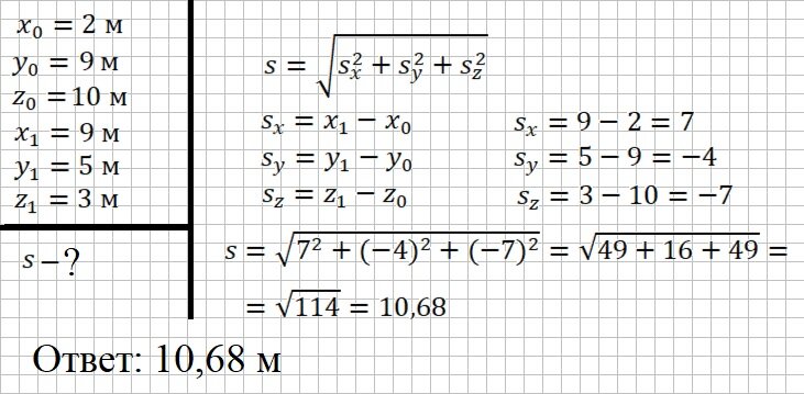
Тело переместилось из точки M₀ с координатами x₀ = 2 м, y₀ = 9 м, z₀ = 10 м в точку M₁ с координатами x₁ = 9 м, y₁ = 5 м, z₁ = 3 м.
Определи модуль перемещения тела.
Задача аналогична той, где нужно было определить модуль перемещения по двум проекциям: также были известны координаты начального и конечного положения. Также не требуется преобразование единиц измерения. В данной задаче появляется третья координата.
На рисунке красными точками отмечены начальное и конечное положение тела. Для наглядности построен параллелепипед, длина ребер которого представляет собой модуль перемещения по каждой из осей (разность между конечной и начальной точкой на конкретной оси). Тогда задача сводится к нахождению диагонали параллелепипеда. Даже если вы не помните формулу, она легко получается из теоремы Пифагора.
