Кинематика материальной точки: Как определить высоту здания по траектории камня 🏘️ | Равнопеременное движение
Кинематика материальной точки: Равнопеременное движение Определение высоты здания, с которого под углом сброшен камень
Узнайте, как рассчитать высоту здания, с которого камень был сброшен под углом. Изучите основы равнопеременного движения, необходимые формулы и разберите практическое решение задачи с примерами. Подходит для школьников и студентов
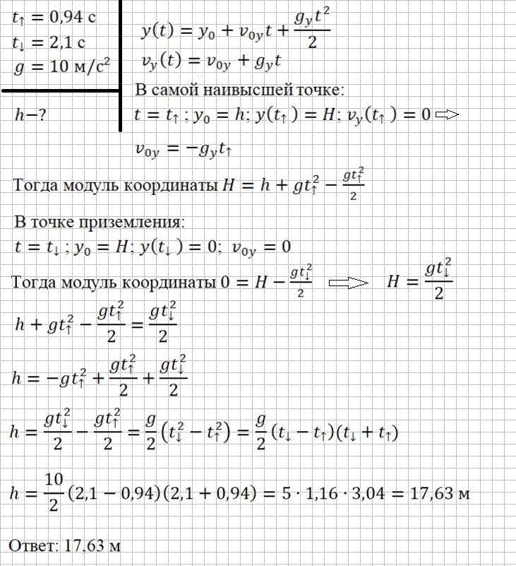
На рисунке представлена траектория камня, который бросили с крыши здания под углом α. Через 0,94 с он достиг максимальной высоты. После чего ещё через 2,1 с он приземлился. Определи высоту здания, если g = 10 м/с²
Прежде всего введем систему координат и необходимые обозначения, после чего запишем уравнения проекций для координаты и для скорости.
Сначала рассмотрим координату в наивысшей точке, где
Затем рассмотрим координату приземления
Получаем два уравнения с одинаковой левой частью, следовательно можем уравнять правые и затем выразить h
