Кинематика материальной точки: Как найти модуль скорости и направление движения 🚀 | Решение задачи
Кинематика материальной точки: Прямолинейное равномерное движение. Задача на модуль скорости и направление движения
Полное руководство по расчету модуля скорости и определению направления движения при прямолинейном равномерном движении. Изучите теорию, формулы и разберите практический пример решения задачи. Подробно и доступно для школьников и студентов!
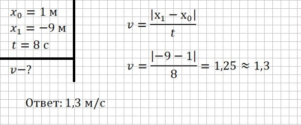
Тело движется прямолинейно. За 8 с его координата изменилась с 1 м до −9 м. Найди модуль скорости и направление движения точки.
Для наглядности отметим точки на координатной прямой
Далее внимательно читаем условие задачи: «изменилась с…» означает, что здесь начальная точка, «до …» — конечная
Теперь становится очевидно, куда двигалось тело, а именно — противоположно положительному направлению оси ОХ.
Найдя разность между конечной и начальной точкой и разделив на время, найдем модуль скорости
Обратите внимание, получившийся результат я округлила до десятых, то есть один знак после запятой
