Кинематика материальной точки: Как рассчитать модуль перемещения по проекциям 📐 | С решением задачи
Кинематика материальной точки: Описание механического движения. Задача на расчёт модуля перемещения по проекциям
Полное руководство по кинематике материальной точки: теория, формулы и практическое решение задачи на расчет модуля перемещения по проекциям координат. Изучите основы механического движения и научитесь решать подобные задачи легко и быстро!
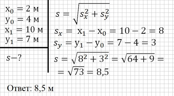
Дана задача: Тело двигалось по прямой линии.
Начальные координаты тела: х₀=2 м, у₀=4 м
Конечные координаты тела: x₁=10 м, y₁=7 м.
Определи длину вектора перемещения тела (ответ округли до десятых).
Первым делом всегда смотрим на единицы измерения и переводим в СИ. В данном случае переводить ничего не требуется.
Чтобы найти длину вектора перемещения, вспомним, что он из себя представляет. Простыми словами — это отрезок, соединяющий начальную и конечную точку, имеющий направление. В данном случае нас интересует длина этого отрезка. Отметим на координатной плоскости начальные и конечные координаты
На рисунке слева точки отмечены конкретно для этой задачи, справа изображен общий случай, где числа могут быть любыми из вашего варианта. Соединив начальную и конечную точки, получим вектор перемещения.
Остается найти его длину. Для этого представим, что вектор — гипотенуза прямоугольного треугольника, тогда катеты этого прямоугольника можно найти как разность между конечной и начальной точкой. Данные разности будут показывать нам перемещение по оси х и по оси у.
Остается применить теорему Пифагора для нахождения гипотенузы прямоугольного треугольника: квадрат гипотенузы равен сумме квадратов катетов. Запишем решение и ответ
