Кинематика материальной точки: Уравнение траектории и кинематические параметры 📐 | Прямолинейное равномерное движение
Кинематика материальной точки: Прямолинейное равномерное движение. Уравнение траектории и кинематические параметры
Узнайте, как составить уравнение траектории и определить кинематические параметры при прямолинейном равномерном движении. Изучите теорию, формулы и разберите практическое решение задачи. Подробно для школьников и студентов
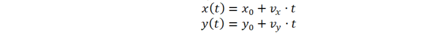
На примере следующих уравнений разберем основные кинематические параметры:
1) Начальные координаты движущейся точки. Для того, чтобы их определить, необходимо вспомнить закон равномерного прямолинейного движения:
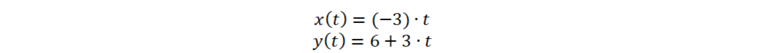
Здесь x₀ и y₀ и есть начальные координаты. В нашем примере значение по оси ОХ отсутствует, то есть равно нулю, значение по оси ОУ равно 6 м.
2) Проекция скорости на ось ОХ.
Опять же вспоминаем закон прямолинейного равномерного движения. В данном примере она равна -3 м/с
3) Проекция скорости на ось ОУ.
Аналогично, в данном примере равна 3 м/с
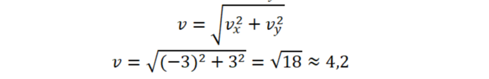
4) Модуль скорости.
Чуть посложнее. Вспоминаем теорему Пифагора и используем числа, полученные в пунктах 2 и 3, получаем 4,2 м/с
5) Координата X движущейся точки через 6 с после начала движения.
Здесь просто нужно подставить 6 вместо t в первом уравнении, получаем -18 м
6) Координата У движущейся точки через 6 с после начала движения.
Аналогично подставляем 6 вместо t
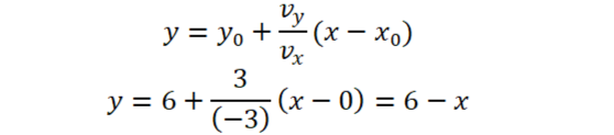
7) Уравнение траектории
Чтобы составить уравнение траектории, нам нужно имеющиеся у нас уравнения равномерного прямолинейного движения как бы объединить. Для этого выразим t из первого уравнения (для х) и подставим его во второе (для у):
Теперь осталось подставить уже известные нам данные:
