Кинематика материальной точки: Как определить модуль ускорения при равнозамедленном движении 📉 | Равнопеременное движение
Кинематика материальной точки: Равнопеременное движение. Определение модуля ускорения при равнозамедленном движении
Узнайте, как рассчитать модуль ускорения при равнозамедленном движении. Изучите основные формулы, теорию равнопеременного движения и разберите практическое решение задачи с примерами. Полезно для школьников и студентов
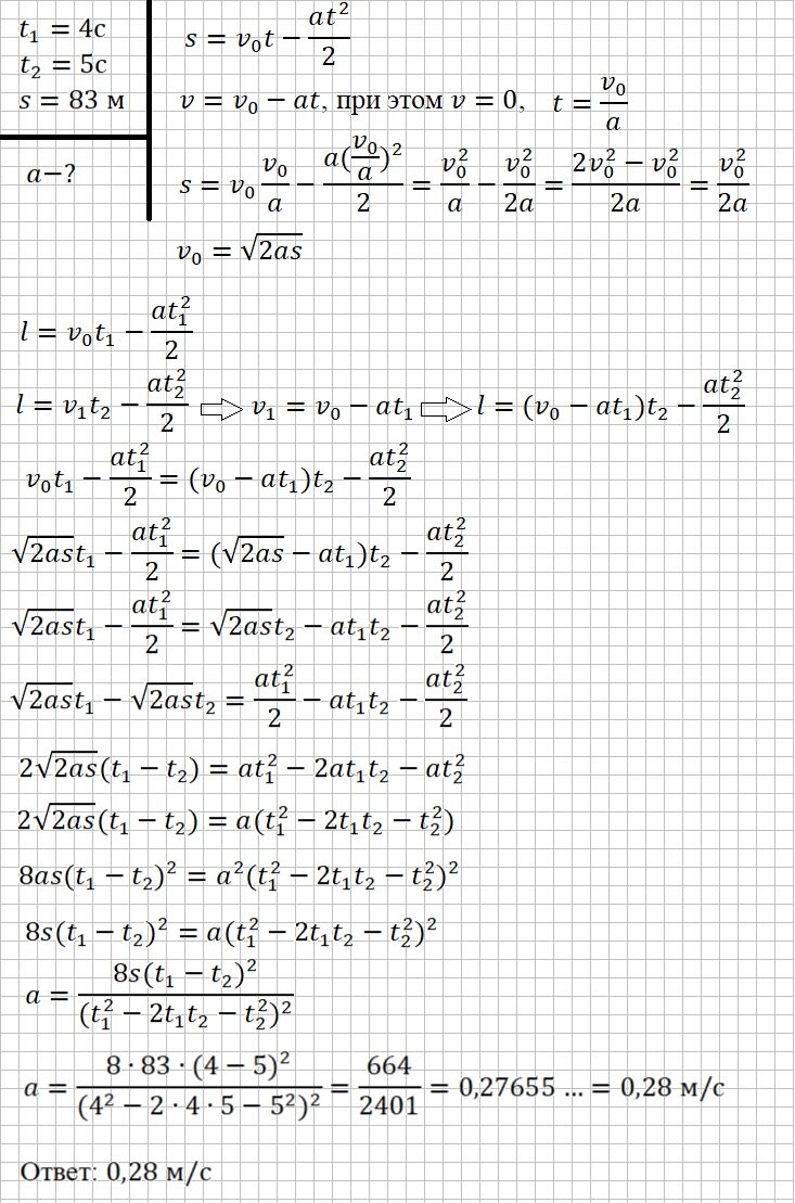
Поезд подъезжал к платформе равнозамедленно. Первый вагон прошёл мимо столба за 4 с, а второй — за 5 с. После остановки расстояние между началом поезда и столбом было 83 м. Определи модуль ускорения поезда.
Начнем с того, что нам неизвестна начальная скорость поезда. Её можно выразить через перемещение тела при равнозамедленном движении.
Далее используем формулу скорости равнозамедленного движения v=v₀-at, при этом v=0, так как поезд остановился, значит
Формула перемещения тогда примет вид
Значит, начальная скорость равна
Длина одинакова для первого и второго вагонов. Используем длину вагона как пройденный путь. Формула для пути, пройденного первым вагоном:
Так как скорость второго вагона можно рассчитать как
то путь, пройденный вторым вагоном, составит:
Так как в обоих случаях пройденный путь — это длина вагона, приравняем правые части
И вместо начальной скорости подставим ранее выведенную формулу
Проведя необходимые преобразования, выразим ускорение
