Кинематика материальной точки: Как определить модуль перемещения по графику 📈 | Прямолинейное равномерное движение
Кинематика материальной точки: Прямолинейное равномерное движение. Определение модуля перемещения тела по графику
Узнайте, как рассчитать модуль перемещения тела по графику при прямолинейном равномерном движении. Разберите теорию, изучите формулы и примените их на практике с подробным решением задачи. Подходит для школьников и студентов
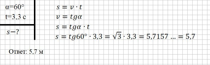
Дан график s(t), по которому необходимо определить модуль перемещения тела через 3,3 с, если угол α=60°.
Итак, перед нами график зависимости перемещения от времени, то есть зеленая линия — это скорость. Так как необходимо найти модуль перемещения, зная время, значит надо найти одну проекцию, зная другую.
Можно решить с помощью геометрии. Если вспомнить свойства прямоугольного треугольника, то значения проекций по осям — это катеты, а график — гипотенуза. Катеты связаны с углом через тангенс — это отношение противолежащего углу катета к прилежащему. Значит, чтобы найти противолежащий, надо тангенс умножить на прилежащий.
Точно такое же решение получится, если вспомнить, что перемещение — это произведение скорости на время, а скорость можно найти как тангенс угла.
