Кинематика материальной точки: Как определить характеристики движения по окружности 🌍 | Равномерное движение
Кинематика материальной точки: Равномерное движение по окружности. Определение характеристик движения по окружности
Узнайте, как рассчитать основные характеристики равномерного движения по окружности: линейную и угловую скорость, период, частоту и ускорение. Изучите необходимые формулы, теорию и разберите практическое решение задачи с примерами. Идеально для школьников и студентов
Задача
Материальная точка равномерно движется по окружности с радиусом 9 м. За 65 с материальная точка совершила 97 оборотов. Определи следующие характеристики тела.
Для начала определимся, что нам дано. У нас есть время t, количество оборотов N и радиус R. По условию при выводе физических величин и подстановке их значений необходимо использовать физические величины из условия задачи. То есть каждую формулу нужно преобразовать так, чтобы она рассчитывалась исходя из данных трех величин.
1. Период обращения тела. Делим время на количество оборотов
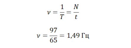
2. Частота обращения. Величина, обратная периоду, делим количество оборотов на время
3. Модуль линейной скорости тела. Делим длину окружности на период, преобразовываем, чтобы в формуле остались только известные величины
4. Модуль центростремительного ускорения тела. Скорость в квадрате делится на радиус. Также преобразовываем.
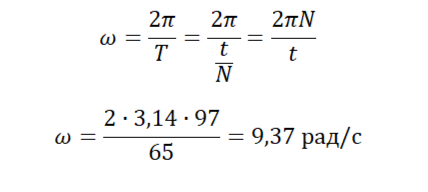
5. Угловая скорость тела. Вместо периода в формулу подставляем отношение времени к количеству оборотов
