Кинематика материальной точки: Как найти модуль скорости при равнопеременном движении 📐 | С решением задачи
Кинематика материальной точки: Равнопеременное движение. Задача на определение модуля скорости тела
Узнайте, как рассчитать модуль скорости тела при равнопеременном движении. Изучите необходимые формулы, теорию и разберите практическое решение задачи с примерами. Подходит для школьников и студентов
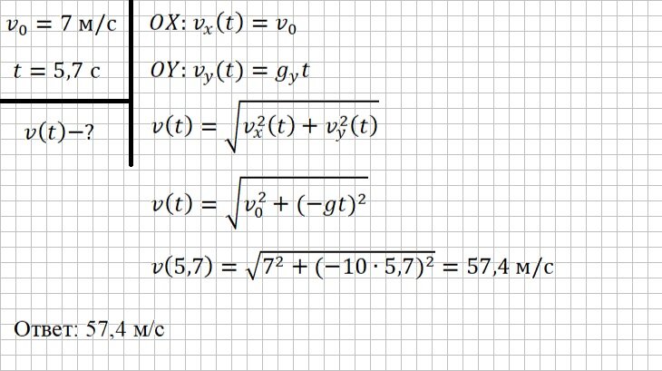
С вертолёта сбросили груз с горизонтальной скоростью 7 м/с. Траектория движения груза представлена на рисунке. Определи модуль скорости груза через 5,7 с (g = 10 м/с²).
На рисунке уже заданы координатные оси. Запишем уравнения проекций по этим осям и подставим в уравнение для модуля скорости.
