Кинематика материальной точки: Как найти характеристики равноускоренного движения 📊 | Равнопеременное движение
Кинематика материальной точки: Равнопеременное движение. Нахождение характеристик равноускоренного движения
Узнайте, как рассчитать основные характеристики равноускоренного движения: скорость, ускорение, перемещение и время. Изучите необходимые формулы, теорию и разберите практическое решение задачи с примерами. Идеально для школьников и студентов
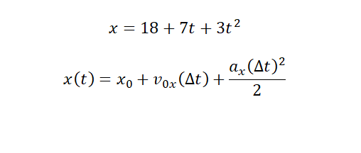
На примере конкретного уравнения разберем основные характеристики
Для наглядности рядом запишем уравнение движения в общем виде
Тогда остается только сравнить коэффициенты
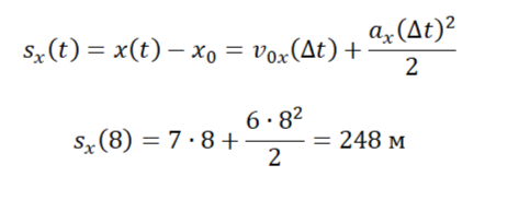
Начальная координата 18, начальная скорость 7, ускорение 3х2=6. Чтобы найти проекцию перемещения, необходимо преобразовать уравнение движения и подставить время. Ниже пример, как это будет выглядеть если нужно найти проекцию перемещения тела за 8 с.
