Как рассчитать резонансную циклическую частоту колебательного контура: пошаговое решение задачи по физике
Электромагнитные колебания и волны. Расчёт резонансной циклической частоты колебательного контура
В статье рассматривается задача на определение резонансной циклической частоты колебательного контура, состоящего из катушки индуктивности и конденсатора. Мы объясним, что такое резонанс в электромагнитных колебаниях, как он возникает и почему это важное явление в физике и технике. Подробно разберём формулу для расчёта резонансной частоты и покажем, как её применять на практике. Пошаговое решение с формулами и комментариями поможет вам легко понять эту тему. Материал будет полезен школьникам, студентам и всем, кто изучает физику или готовится к экзаменам.
Определи резонансную циклическую частоту вынужденных колебаний для колебательного контура, изображенного на рисунке. Напряжение на генераторе изменяется по следующему закону: U=U₀cos²(Ωt). Ёмкость конденсатора C=2 мкФ, индуктивность катушки L=3 мкГн.
В задаче рассматриваются вынужденные электромагнитные колебания в LC-контуре, при этом частота вынужденных колебаний в колебательном контуре совпадает с частотой колебаний напряжения на генераторе. Преобразуем закон изменения напряжения и рассмотрим его гармонические составляющие.
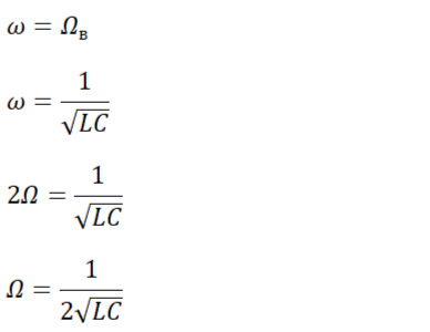
При резонансе циклическая частота собственных колебаний в колебательном контуре совпадает с частотой вынужденных колебаний, запишем соответствующие формулы и выразим искомую частоту
Подставим числа и найдем ответ
